MATLAB软件入门
一、 实验目的及意义
-
熟悉MATLAB软件的用户环境;
-
了解MATLAB软件的一般目的命令;
-
掌握MATLAB数组操作与运算函数;
-
掌握MATLAB软件的基本绘图命令;
-
掌握MATLAB语言的几种循环、条件和开关选择结构。
通过该实验的学习,使学生能灵活应用MATLAB软件解决一些简单问题,能借助MATLAB软件的绘图功能,对函数的特性进行探讨,广泛联想,大胆猜想,发现进而证实其中的规律。
二、实验内容
-
MATLAB软件的数组操作及运算练习;
-
直接使用MATLAB软件进行作图练习;
-
用MATLAB语言编写命令M-文件和函数M-文件;
-
MATLAB软件的符号运算练习。
三、实验步骤
-
在D盘建立一个自己的文件夹;
-
开启软件平台——MATLAB,将你建立的文件夹加入到MATLAB的搜索路径中。
-
利用帮助了解函数max, min, sum, mean, sort, length,rand, size和diag的功能和用法。
-
开启MATLAB编辑窗口,键入你编写的M文件(命令文件或函数文件);
-
保存文件(注意将文件存入你自己的文件夹)并运行;
-
若出现错误,修改、运行直到输出正确结果;
-
写出实验报告,并浅谈学习心得体会。
四、实验要求与任务
根据实验内容和步骤,完成以下具体实验,要求写出实验报告(实验目的→问题→算法与编程→计算结果或图形→心得体会)
基础实验
1.设有分块矩阵
,其中E,R,O,S分别为单位阵、随机阵、零阵和对角阵,试通过数值计算验证
。
2.某零售店有9种商品的单件进价(元)、售价(元)及一周的销量如表1.1,问哪种商品的利润最大,哪种商品的利润最小;按收入由小到大,列出所有商品及其收入;求这一周该10种商品的总收入和总利润。
表1.1
货号 |
1 |
2
|
3
|
4
|
5
|
6
|
7
|
8
|
9
|
单件进价 |
7.15 |
8.25
|
3.20
|
10.30
|
6.68
|
12.03
|
16.85
|
17.51
|
9.30
|
单件售价 |
11.10 |
15.00
|
6.00
|
16.25
|
9.90
|
18.25
|
20.80
|
24.15
|
15.50
|
销量 |
568 |
1205
|
753
|
580
|
395
|
2104
|
1538
|
810
|
694
|
3. 用两种方法在同一个坐标下作出
这四条曲线的图形,并要求用两种方法在图上加各种标注。
4.用subplot分别在不同的坐标系下作出下列四条曲线,为每幅图形加上标题,
1)概率曲线
;
2)四叶玫瑰线
;
3)叶形线

4)曳物线
。
5.作出下列曲面的3维图形,
1)
;
2)环面
。
6.建立一个命令M-文件:求所有的“水仙花数”,所谓“水仙花数”是指一个三位数,其各位数字的立方和等于该数本身。例如,153是一个水仙花数,因为
。
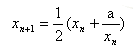
7.编写函数M-文件sq.m:用迭代法求
的值。求平方根的迭代公式为

迭代的终止条件为前后两次求出的x的差的绝对值小于
。
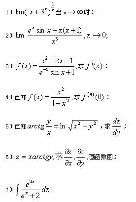
8. 求函数的极限、导数或积分:

探究实验
自由发挥:自己提出问题,实验探索,广泛联想,发现规律,大胆猜想。比如函数cos(1/x)在x=0附近的振荡现象,有无规律可寻?